来源:Vtech CMCC官方网站 www.cmcc.nl
原作:Dr. Edwin Vollebregt
由于译者学识所限,文中难免有错误之处,恳请读者指正。
摘要:本文简要介绍CONTACT软件新版本(V20.2)相比前一版本(V19.1)增加的计算功能和更改之处,主要如下:
基于平面接触斑、曲面接触斑假设的几种轮轨接触精细分析的新方法[1,2];
接触界面轮轨摩擦生热导致的温升计算及温度对摩擦系数的影响[3];
可考虑轮轨间第三层介质或近表层局部塑性效应[3,4];
用于自动轮轨接触分析的1号模块已支持轮轨型面光滑处理和摩擦系数沿着钢轨型面变化;
调整了软件试用政策,CONTACT软件独立版(包括1号模块)和动力学软件接口版(DLL)均提供为期2个月的免费试用。
作者特别感谢美国联邦铁路管理局(US FRA)对CONTACT软件发展的资助(合同号:DFTR5317C00012)。
(a)曲面接触斑 (b)平面接触斑
图1 轮轨型面共形接触时的压力分布
一般来说,轮轨接触问题的计算机求解可分为以下三个连续的步骤:CONTACT软件自V17.1版本起,新增了铁路轮轨接触专用的1号模块,可自动地完成上述工作。当前版本提供多种方法计算精细化的轮轨接触斑,既有平面法,又有曲面法(共形)。作者提出了一种适用于平面接触斑的新方法来定义接触切平面,包括接触斑局部坐标系原点和方向的确定,该方法通过对压入区域进行加权平均来找到原点和方向[1]。
多次计算测试结果表明,相比过去采用的几种平面接触斑法,该方法求解得到的结果更加接近曲面法。当控制符D=2时,启用此法,以替代以前使用的线性平均和局部接触角的方法。
曲面接触斑:
相比于平面接触斑,基于曲面接触假设的共形接触斑则更为先进和真实。在1号模块,对于任意给定的轮轨型面,软件都能自动计算处理。图1(a)显示了一个典型的轮轨共形接触情形。与平面接触斑只有一个统一的接触法向不同,在曲面接触斑的每一处,都有各自的法向,显然压力分布会精确得多。而且在每一处都对应不同的滚动圆半径,因此蠕滑率的计算也必然更准确。当控制符D=4时,启用此法。
接触轨迹法:
作者开发了新的接触轨迹法,用于确定接触点,以替代以前基于离散网格的强行搜索法。新方法通过解析推导,将接触搜索转换为一维问题[1]。对于轮-轨接触,控制符为C1=0或1,对于轮-轮接触,控制符为C1=4或5,并可考虑钢轨和车轮的柔性。当控制符D=2或4时,启用此法;而当D=5时,则使用旧的方法,可用于相互验证。对于动态的轮轨多点接触情况,如果采用平面接触斑假设,显然存在一个问题:当相邻的两个接触斑逐渐靠近到一定程度,就得合并为一个,远离到一定程度时一个接触斑也得分解为两个,分分合合的过程就会产生突变。作者试图采用多种手段尽可能地减小这种突变,如:使用平均接触角而非直接使用其中一个接触角,提前合并接触斑,采取缓慢融合法,等等[1]。
软件为相邻接触斑定义了两个距离阈值,
和
,分别对应接触斑的分离和合并临界点,以及接触角阈值
。当
或
时,接触斑一分为二;当
时,接触斑合二为一;而当
时,则处于过渡阶段。
A_SEP [rad] 接触斑分离之接触角阈值
D_SEP [mm] 接触斑分离之距离阈值
D_COMB [mm] 接触斑合并之距离阈值
软件扩展了Matlab后处理脚本 plot3d 的功能,可以绘制如图1所示的接触斑。视图方向为后视,即车轮向远处滚动。图1显示了可能的接触区域以及局部坐标系。软件新增了摩擦生热导致的近表层温升效应计算[3],该方法主要参考了Ertz和Knothe的文献[5]。当前模型仅考虑局部的平均温度,而忽略粗糙面接触导致的瞬现温度。因此新增了控制符H,用户需要输入热传导相关的材料参数以及两个物体的初始平均温度。
作者认为轮轨接触表面温度的升高或许可以用来解释轮轨蠕滑率增加而黏着下降的现象。用户可以设置控制符L=6来指定摩擦系数随温度变化的曲线,当前版本可以通过简单的几条线段来定义。测试计算表明,当前模型对蠕滑力曲线的第一段斜率影响甚微,而结果出现的负斜率段与预期效果一致。
如图2所示,Matlab脚本plot3d可以绘制车轮和钢轨的温度分布图。相应的,CONTACT Library也提供相应的数据接口:cntc_getmaximumtemperature
图2 滑动状态的轮轨温度分布
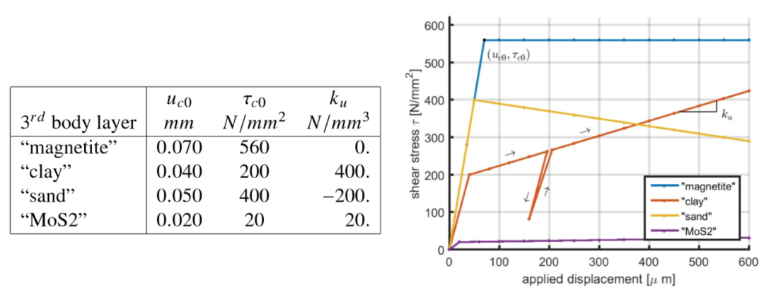
作者开发的新模型,可考虑轮轨间第三层介质或近表层局部塑性效应[3,4]。通过控制符M=4来实现中间层塑性计算功能。该模型假定当局部切应力达到局部屈服极限时,发生切向塑性变形。实际的屈服极限可考虑加工硬化或加工软化效应,即
。其中,
是刚进入接触区材料的初始屈服极限,
是通过接触区而累积的塑性变形。该模型借鉴了K.Hou等人[7]提出的特性曲线,如图3所示。CONTACT软件在不考虑第三层介质时,若设置
,也可以使用切向塑性功能。这时塑性变形发生在较软物体的近表层。CONTACT Library也提供相应的子程序接口,详见用户手册。
图3 几种典型中间介质的塑性特性
轮轨接触的1号模块增加了型面光滑与缩放(如:单位转换)功能,通过参数sclfac和smooth来实现,在输入文件里,应为所有的轮轨型面设置该参数。
CONTACT Library也提供相应的子程序接口,详见用户手册。
使用控制符O≥4,可以输出程序计算实际使用的光滑后的轮轨型面数据。且当控制符O≥3时,可以输出共形接触的接触曲面。CONTACT Library也提供相应的子程序接口,详见用户手册。
软件新增了沿着钢轨型面可变摩擦系数功能(控制符V=1),可实现钢轨顶面和侧面具有不同的摩擦系数,并考虑过渡区间。其特性通过多条线段进行模拟,横坐标为接触角。特别地,对于共形接触,显然接触斑不同位置处的接触角不同,因此对于一个接触斑,其摩擦系数也不是恒定的。
独立的CONTACT程序和CONTACT Library接口程序(包括UM和GENSYS接口)均提供2个月的试用许可。用户需要联网访问服务器验证许可ID和激活码,并生成适用本机的许可文件。详情请访问荷兰Vtech CMCC公司官方网站 www.cmcc.nl。7 修正的问题
对于一些极端情况(如:严重凹磨等)的轮轨型面,当前版本有更好的兼容性,也更好地支持了Miniprof测量的结果文件。
以前版本在当考虑中间层介质,M=4时,次表层的应力计算有误,现已修正。
以前版本的CONTACT Library在求解滑移问题(T=1)时有个问题,现已修正。
旧版的缺省安装路径:C:\ Program Files (x86)\KalkerSoftware
新版的缺省安装路径:C:\Program Files\Vtech CMCC
由于采用了一些新的方法,1号模块计算的结果与之前版本会略有不同。
输入文件内容及格式的变化如下:
即便采用粘弹性材料模型时,次表层的应力计算仍然使用弹性影响系数。[1] E.A.H. Vollebregt. Detailed wheel/rail geometry processing using the planar contact approach. Vehicle System Dynamics, ??:???, 2020. submitted. [2] E.A.H. Vollebregt. Detailed wheel/rail geometry processing using the conformal contact approach. Multibody System Dynamics, ??:???, 2020. submitted. [3] E.A.H. Vollebregt and C.D. van der Wekken. Advanced modeling of wheel-rail friction phenomena. Technical Report TR19-11, VORtech, November 2019. FRA project. [4] C.D. van der Wekken and E.A.H. Vollebregt. Local plasticity modelling and its influence on wheel-rail friction. In Z. Li and A. Núñez, editors, Proceedings of the 11th International Conference on Contact Mechanics and Wear of Rail/Wheel Systems, pages 1013–1018, The Netherlands, 2018. Delft University of Technology. [5] M. Ertz and K. Knothe. A comparison of analytical and numerical methods for the calculation of temperatures in wheel/rail contact. Wear, 253:498–508, 2002. [6] E.A.H. Vollebregt. User guide for CONTACT, Rolling and sliding contact with friction. Technical Report 20-01, version 20.1, Vtech CMCC, 2020. See www.cmcc.nl/documentation. [7] K. Hou, J. Kalousek, and E. Magel. Rheological model of solid layer in rolling contact. Wear, 211:134–140, 1997.